【印刷可能】 x^4 4 factorise 218908-Factorise x 4 3x 2 4
Well, you may be right but it never hurts to try Let's compare the original expression with a similar expression, which is The difference between them is the middle term So let's add, then subtract that middle term Swap the middle two terms Factor the first three termsYou can put this solution on YOUR website!At first glance, this does not appear to be a quadratic — and, in technical terms, it isn't But this expression is quadratic in form, meaning that it can be restated as a quadratic, it follows the same patterns, and it can be factored by using the same techniques

Factorise X2 5x 4 Edurev Class 10 Question
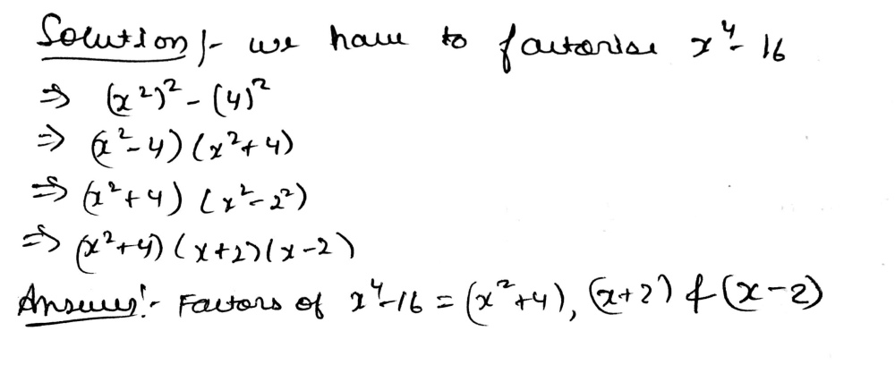
Factorise x 4 3x 2 4
Factorise x 4 3x 2 4-XFactor (Vol 4) 5 (Title) I often find a terrifying comfort in the possibility of evanescing I never asked to exist Or to be like this This clumsy and fumbling congregation of flaws I think there's something wrong with me I can still feel an itch in my head, like Saturnyne 'sFactorise x 4 (y z) 4 ∵ x 4 (y z) 4 = x 2 2 (y z) 2 2 = (x 2) (y z) 2 (x 2) (y z) 2 Using a 2 b 2 = (ab) (ab) We can factorise x 2 (y z) 2 further as x 2 (y z) 2 = (x) (y z) (x) (y z)



Factorise X 4 X 2 25 Dronstudy Questions
Who is the XFactor for the Steelers in their Week 4 game vs the Packers?Using factor theorem, factorise the polynomial x3 x2 4x 4 0 votes 143k views asked in Class IX Maths by priya12 (12,166 points) Using factor theorem, factorise the polynomial x 3 x 2 4x 4 polynomialsThe Pittsburgh Steelers are preparing for the Green Bay Packers in Week 4 It is the Steelers' second road game of the season, and, hopefully their second victory When looking at the matchup between interconference foes, there are players who can be viewed as 'XFactors' What is an 'XFactor
Factorise X^4 Y^4 27x^2y^2 Mathematics Shaalaacom The X Factor Week 4 vs Chicago Dannie Rogers and Lions Legend TJ Lang break down a key player from each team in the upcoming Week 4 matchup with the Chicago Bears This is The X Factor, presented by XfinityXFactor #4 Overview;
Contributions Submit Corrections Submit New Variant Cover Contribution History Add 94 196 of 9 Liked It 42 Avg Rating Pull It Have It Read It Want It X OF SWORDS, CHAPTER 2 Death and rebirth Corruption A dark discovery CONTINUED Expression #=x^4y^4# Recall the factorization of the difference of two squares #a^2b^2 = (ab)(ab)# In our example, we will use this factorization twice Note #x^4 =(x^2)^2 and y^4 =(y^2)^2 # Applying the factorization above Expression #= (x^2y^2)(x^2y^2)# Now, the second factor above is also the difference of two squaresSteps Using the Quadratic Formula { x }^ { 2 } 12x4 = 0 x 2 − 1 2 x 4 = 0 All equations of the form ax^ {2}bxc=0 can be solved using the quadratic formula \frac {b±\sqrt {b^ {2}4ac}} {2a} The quadratic formula gives two solutions, one when ± is addition and one when it is subtraction




Factorising




Factorise X2 5x 4 Edurev Class 10 Question
And hence factorise x4 4y4 x 4 4 y 4 We know that x4 4y4 =(x2 2y2)2 −4x2y2 x 4 4 y 4 = ( x 2 2 y 2) 2 − 4 x 2 y 2 Notice that the right hand side is of the form a2 −b2 a 2 − b 2, where a = x2 2y2 a = x 2 2 y 2 and b =2xy b = 2 x y We know that a2 −b2 =(ab)(a−b) a 2 − b 2 = ( a b) ( a − b), and soFactor x 4 – 2x 2 – 8;Question what is the process to factorise x^4 324 Answer by Edwin McCravy (101) ( Show Source ) You can put this solution on YOUR website!



2



Solved X Square 4 Y Square 4 X 4 Factorise It Self Study 365
Uncategorized Use the factor theorem and polynomial division to factorise y = x 4 6x 3 11x 2 4x 4 Sketch a graph of this polynomial function, labelling the After some guessing and checking (kind of like the guessing and checking that goes into factoring a quadratic**), we find that $$ 64x^4 64x^3 x^2 51x 39 = (4x^2 3x 3)(16x^2 4x 13) $$If you are factoring a quadratic like x^25x4 you want to find two numbers that Add up to 5 Multiply together to get 4 Since 1 and 4 add up to 5 and multiply together to get 4, we can factor it like (x1)(x4)



Can You Factor Math X 4 81 Math Quora




Factoring Calculator For Quadratic Equations
Factoring a 4 b 4 We can factor a difference of fourth powers (and higher powers) by treating each term as the square of another base, using the power to a power rule For example, to factor x 4 y 4, we treat x 4 as (x 2) 2 and y 4 as (y 2) 2 Thus, x 4 y 4 = (x 2) 2 (y 2) 2 = (x 2 y 2)(x 2 y 2) = (x 2 y 2)(x y)(x y) Guide Watch 1986 60 Sales 98 FMV $70 XFactor #4 Guide Watch 1986 1,365 Sales 98 FMV $90 XFactor #5 First cameo of Apocalypse Guide Watch 1986This video focuses on how to factor x^4x^3x^2x2 completelyI factor this polynomial completely by1) Testing basic roots to find a factor2) Using polyno



Factorise X4 3x2 2 Mathematics Topperlearning Com
_1485663126_6882-37.jpg)



Factoring Expressions Techniques Powerpoint Slides
Of course, (b) is the complete factorization, (a) is not Comparing the results in (a) and (b), we can get x 4 x 2 y 2 y 4 = (x 2 xy y 2)(x 2 –xy y 2)2 days ago Las Vegas Raiders XFactors against the Los Angeles Chargers in Week 4 INGLEWOOD, CALIFORNIA NOVEMBER 08 Derek Carr #4 of the Las Vegas Raiders celebrates a third quarter first down next to Return to x x 2 = 2 ± 2 i 3 So, we can now convert x 4 4 x 2 16 into factors x 4 4 x 2 16 = ( x 2 − 2 2 i 3) ( x 2 − 2 − 2 i 3) Repeat quadratic formula for each factor x l e f t = 0 ± 0 2 − 4 ( 1) ( 2 2 i 3) 2 x l e f t = ± − 8 − 8 i 3 2 x r i g h t = 0 ± 0 2 − 4 ( 1) ( 2 − 2 i 3) 2




Factorise X X 1 X 2 X 3 4 Ellajetan



Math Scene Equations Iii Lesson 2 Quadratic Equations
Please explain Thanks in advance ) given equation is x^4 5x^2 9 let x^2 =a a^2 5a 9=0Course Title MATHEMATIC 458 Uploaded By SuperCatPerson51 Pages 10 This preview shows page 7 10 out of 10 pages Example 9 Distinct Linear Factors x 2 4 x 1 x − 1 x 1 x 3 dx The partial fraction decomposition has the form x 2 4 x 1 x − 1 x 1 x 3 A x − 1 B x 1 C x 3 To find the values of A , B and C x 2 4 x 1 A x 1 x 3 B x − 1 x 3 Answer (x²3) (x²1) Explanation x^44x² 3 x^4 3x² x² 3 x^4 x² 3x² 3 x² (x² 1 ) 3 (x² 1) = (x² 3) (x² 1)




Using The Factor Theorem In Finding The Factors Of Polynomials With Examples Owlcation




4 Factorise Math 3x 2 13x 4 Math Homework Help And Answers Slader
Here again we add and subtract suitable terms to bring it in a factorisation form Notice that x 44y 4=(x 2) 2(2y 2) 2−2(x 2)(2y 2)−(2xy) 2=(x 22y 2) 2−(2xy) 2 The second expression is in the form a 2−b 2, where a=(x 22y 2) and b=2xy Hence we may write x 44y 4=(x 22y 22xy)(xBy JeffHartman @BnGBlitz , 145pm EDTX^4 324 (x^2)^2 18^2 That would be a perfect square if the term that is twice the product of the square roots of those two terms were added That's 2·18·x^2 or 36x^2 So we add that between those terms and then subtract it That's the same as adding 0 (x^2)^2 36x^2 18^2 36x^2 Factor the first three terms as (x^2 18) (x^2 18) or (x^2 18)^2




Factor Trinomial With Negative Leading Coefficient Examples Solutions




Ncert Solutions For Class 9 Maths Chapter 2 Exercise 2 4 Polynomials
Since (xa) is a factor of` (x^4a^4)` , `(x^4a^4)` is divisible by (xa) `(x^4a^4)/(xa)` = `(xa)(xa)(x^2a^2)/(xa) ` = `(xa)(x^2a^2)/(xa)` So there are two other factorsExpand polynomial (x3)(x^35x2) GCD of x^42x^39x^246x16 with x^48x^325x^246x16Use the factor theorem and polynomial division to factorise y = x 4 6x 3 11x 2 4x 4 Sketch a graph of this polynomial function, labelling the Use the factor theorem and polynomial division to factorise y = −x 4 6x 3 − 11x 2 4x 4 Sketch



Using Factor Theorem Factorise The Polynomial X3 X2 4x 4 Studyrankersonline




Factorisation Edexcel A Level Maths Pure Revision Notes
Factor x4 324 (x 2) 2 18 2 That would be a perfect square if the term that is twice the product of the square roots of those two terms were added That's 2 18 x 2 or 36x 22 days ago Who is the Steelers' XFactor in Week 4 vs the Green Bay Packers?5xy=4 Geometric figure Straight Line Slope = 5 xintercept = 4/5 = yintercept = 4/1 = Rearrange Rearrange the equation by subtracting what is to the right of the




X4 X Z 4 Factorize Than Using Identity B2 Brainly In




Factors Learning Outcomes Ppt Download
The factors of x4 4 are = (x4 4x2 4) − 4x2 = (x2 2)2 − (2x)2 = (x2 2−2x)(x2 22x) Thus, x2 −2x2 is one of the factor Hence, option B is correctWolframAlpha Widgets "Factoriser" Free Mathematics Widget Factoriser Factoriser Enter a quadratic equation to factorise For indices use (^) Factorise SubmitShow that \ (x^22y^2)^24x^2y^2=x^44y^4, \ and hence factorise \(x^44y^4\)




How To Factorise A Polynomial By Splitting The Middle Term A Plus Topper




Splitting The Middle Term Video Corbettmaths
The corresponding y values that I got are 0, 1, 2 and 3 2 g(x) = 1/4√ x The x values are 0, 1, 4, and 9 The corresponding y values that I math The function f(x)=ax^3x^3bx24 has three factors Two of these factors are x2 and x4 Determine the values of a and b , and then determine the other factor Factorise x4 x2 1 Factorise x4 x2 1 how_to_reg Follow thumb_up Like (11) visibility Views (725K) edit Answer question_answer Answers(2) edit Answer person Kishore Kumar Consider x 4 x 2 1 = (x 4 2x 2 1) – x 2 = (x 2) 2 2x 2 1 – x 2 = x 2 1 2 – x 2 It is in the form of (a 2 – b 2) = (a b)(a – bGet stepbystep solutions from expert tutors as fast as 1530 minutes Your first 5 questions are on us!



X 25




Ex 7 A Q6 Factorise I X X 3 5 X 3 Ii 5x X 4 7 X 4 Iii 2m 1 N 3 1 N
Algebra Factor x^4256 x4 − 256 x 4 256 Rewrite x4 x 4 as (x2)2 ( x 2) 2 (x2)2 −256 ( x 2) 2 256 Rewrite 256 256 as 162 16 2 (x2)2 −162 ( x 2) 2 16 2 Since both terms are perfect squares, factor using the difference of squares formula, a2 −b2 = (ab)(a−b) a 2 b 2 = ( a b) ( a b) where a = x2 a = x 2 and b = 16 b = 16Get stepbystep solutions from expert tutors as fast as 1530 minutes Your first 5 questions are on us! Factorise x^4y^4 256 z^4 1 See answer Advertisement Advertisement rajatarora94 is waiting for your help Add your answer and earn points 123ria 123ria Step 1 Equation at the end of step 1 ((x4) • (y4)) 28z4 Step 2 Trying to factor as a Difference of Squares 21 Factoring x4y4256z4




View Question Factorise Fully X 2 16 X 4 3x 5



Factorize X 4y 4 Xy Sarthaks Econnect Largest Online Education Community
Factor the given polynomial x^4 y^4 I don't think it can be factor? Share with your friends Share 1 Follow 3 Mayank Bhardwaj, Meritnation Expert added an answer, on 24/9/12 Mayank Bhardwaj answered this x4 – y4 = ( x2)2 – ( y2) 2 = ( x2 – y2) ( x2 y2) = ( x – y ) ( x y) ( x2 y2)(b) x 6 – y 6 = (x 3) 2 – (y 3) 2 = (x 3 y 3)(x 3 – y 3), by (1) = (x y)(x 2 – xy y 2)(x y)(x 2 xy y 2), by (2) and (3) Which of the above factorization is correct?



2



1
Learn how to solve polynomial factorization problems step by step online Factor the expression x^46x^21 We can factor the fourth degree trinomial x^46x^21 by applying the substitution y=x^2 Add and subtract \displaystyle\left(\frac{b}{2a}\right)^2 Factor the perfect square trinomial y^26y9 Subtract the values 1 and 9It means both (x 2) and (x 2) are the factors of x2 – 4 It is simply the resolution of an integer or polynomial into factors such that when multiplied together they will result in original or initial the integer or polynomial In the factorisation method, we reduce any algebraic or quadratic equation into its simpler form, where theRewrite x4 x 4 as (x2)2 ( x 2) 2 Rewrite 1 1 as 12 1 2 Since both terms are perfect squares, factor using the difference of squares formula, a2 −b2 = (ab)(a−b) a 2 b 2 = ( a b) ( a b) where a = x2 a = x 2 and b = 1 b = 1 Simplify Tap for more steps Rewrite 1 1 as 1 2 1 2




Factorising Trickier Quadratics



Factorise X 4 X 2 25 Dronstudy Questions
If you multiply the first two factors and the second two factors, you obtain x^44=(x^22x2)(x^2–2x2) Alternatively, if you multiply the first and last factor, and also the second and third, you get x^44=(x^2–2i)(x^22i) You can, of course, write the factorization in a third way, that beingFactoring » Tips for entering queries Enter your queries using plain English To avoid ambiguous queries, make sure to use parentheses where necessary Here are some examples illustrating how to ask about factoring factor quadratic x^27x12;Factorise x^2 4x5 Get the answer to this question by visiting BYJU'S Q&A Forum




Factorise X 4 1




Factorise X 4 Y 4 2x 2 Y 2
An example of how to factor a trinomial into a product of binomials and check the process using the FOIL method I am trying to factor x 4 1 in to two multiplied polynomials Homework Equations My teacher gave us this hint that its factored form is (ax2bxc)(ax2bxc) The Attempt at a Solution First i assumed that a and c were equal to 1 so that when x 2 is multiplied by the other x 2 is gives me x 4 and 1 times 1 gives me 1 I knew that b had to be a



2




Factorise A 2 1 B 2 1 4ab Socratic




Factorisation Single Brackets Multiply Out The Bracket Below




Ex 14 2 4 V Factorise A 4 2a 2b 2 B 4 Ex 14 2




Factorise X 4 X 2 25 Youtube




111 6x25x 6 111 3x2 X 4 See How To Solve It At Qanda




Factorise X4 4 Maths Polynomials Meritnation Com



Canvas Bham Ac Uk




2 Factorise Completely A Tex X 4 16 Tex Snapsolve



How To Factor X 4 Polynomials




Factor Factor A Polynomial Or An Expression With Step By Step Math Problem Solver



Differentiated Starter Simplify Expand Factorise Teaching Resources




Factorize X 4 16 Into Linear Polynomials Youtube




3 Ways To Factor Algebraic Equations Wikihow




X Power 4 Plus 4 Factorise Its Answer Is X Power 2 Plus 2x Plus 2 X Power 2 Minus 2x Plus 2 Brainly In



How To Factorize X 4 4 Quora



2



2




Factorise And Solve X2 3x 2 0 Th Pdf X 2 Or X 4 Factorise And Solve X2 Bx C 0 18 X2 10x 25 0 Factorise And Solve Pdf Document




Factorise 5xx4 7x4 Lido



Factorisation



Factorise X4 X2 1 Polynomials Maths Class 9




X2 T02 01 Factorising Complex Expressions 13




What Is The Factor Of X Power 4 4 Maths Factorisation Meritnation Com




Factorise 3x 2 X 4 Maths Questions




Factorising Into Double Brackets Mixed Variation Theory




How To Factorise A Polynomial By Splitting The Middle Term A Plus Topper



Scaffolded Math And Science How To Use Algebra Tiles To Factor Quadratic Trinomials With Pictures




Factorise X 4 X 2 1




Factorising Quadratics 4 Methods




Algebra 6 Factorising Mathtec




Factorise X4 X2 1 Home Work Help Learn Cbse Forum



Wjec




How To Solve Quadratics By Factorising Mr Mathematics Com



Factorising Quadratics Differentiated Worksheet With Answers Teaching Resources




Ks3 And Ks4 Factorising Worksheets Cazoom Maths Worksheets




216 Find The Factors




Factoring Calculator Wolfram Alpha



Factorise X 4 4 3x 2 Dronstudy Questions




Update Ans Factorise X 4 Y Z 4




2 6 C The Difference Of Two Squares Quadratic Equations Factorising Ocr Gcse Maths Higher Elevise



Factorisation Single Brackets Multiply Out The Bracket Below




Begin Array L Text 4 Factorise Text I Scholr



Factor X 4 1 Problem With Solution Lunlun Com
.png)



Factorise X4 4 X4 Maths Polynomials Meritnation Com




3 Ways To Factor Trinomials Wikihow




c Factorising Basic Bossmaths Com




Unit 8 Section 3 Common Factors Factorising




Factorise X 4 1 X 4 1 Draw Cheerio




Factorise X 4 4 4 X 4 1 By A 2 B 2 Brainly In



Auchmuty Maths Squarespace Com




Factoring X 4 Polynomials Completely Youtube




Starter Multiply Out The Brackets X 3 X 3 X 2 2 X 5 2 Factorise Ppt Download



Factorisation




X 3 X 2 4x 4 Factorise Edurev Class 9 Question



2



How To Factorize X 4 4 Quora




Solved Factor Completely X 2 412 4x 2 41 96 Select One Chegg Com



Blogs Glowscotland Org Uk



How To Factor Polynomials Easily




How Can I Factor The Polynomial X 8 X 4 X 3 X 2 X 1 Over F 2 Mathematics Stack Exchange




e Factorising Quadratics Bossmaths Com



Solved Factor X 4 5x 2 4 Chegg Com




Ex 14 2 4 Iii Factorise X 4 Y Z 4 Chapter 14 Class 8




Factoring Polynomials How To Find Common Factor Video Khan Academy




Factorize X 4 X 2 1 Into Linear Polynomials Youtube




Using Factor Theorem Factorize The Polynomial X 4 2x 3 13x 2 14x 24




Factoring Special Binomials



1




Factorising Quadratics General Edexcel Igcse Maths Revision Notes




Using The Factor Theorem Show That X 2 Is A Factor Of X 3 X 2 4 X 4 Hence Factorise The Polynomial Completely Mathematics Shaalaa Com




Ex 14 2 4 Iv Factorise X 4 X Z 4 Chapter 14 Class 8




How To Factor A Trinomial In 3 Easy Steps Mashup Math




Factorise X2 X 4 1 8 Mathematics Topperlearning Com 057ly522
コメント
コメントを投稿